Ahora, la startup china DeepSeek lanzó versiones preliminares de su nueva generación V4, en plena rivalidad tecnológica entre China y Estados Unidos. El hallazgo no es menor: la empresa asegura que mejoró conocimiento, razonamiento y capacidades agentic (ejecución autónoma de tareas complejas), el mecanismo que convierte a una IA en algo más parecido a un asistente que a un simple contestador.
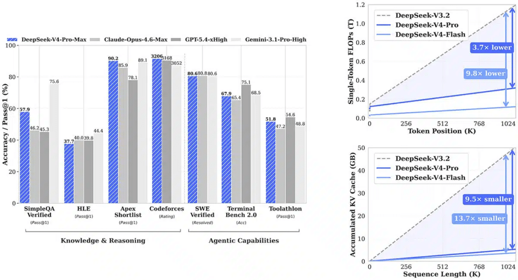
Además, la comparación ya está servida. DeepSeek coloca a V4 frente a ChatGPT de OpenAI, Claude de Anthropic y Gemini de Google, y sostiene que su variante V4 Pro Max supera a GPT-5.2 y a Gemini 3.0-Pro en pruebas de razonamiento, aunque queda apenas por debajo de GPT-5.4 y Gemini 3.1-Pro. Analistas señalan que será muy competitiva, pero advierten que todavía faltan evaluaciones independientes.

Ese detalle es la pieza clave. En inteligencia artificial, las promesas de laboratorio suelen sonar potentes, pero el cableado real recién se ve cuando terceros prueban el sistema en condiciones más abiertas y menos controladas.
La mejora más visible está en la ventana de contexto (cantidad de información que la IA puede recordar y procesar en una sola sesión). V4 llega a un millón de tokens (fragmentos de texto que usa para leer y responder), muy por encima de los 128.000 de V3.
También te puede interesar:DeepSeek expone datos de usuarios y chats: una brecha de seguridad alarmante
Ese nuevo espacio cambia el engranaje interno. La IA puede seguir instrucciones largas, cruzar más datos y sostener conversaciones o tareas extensas con menos olvidos en el camino. En especial, eso impacta en el razonamiento y en las funciones agentic, esa capacidad de encadenar pasos por sí sola para resolver un objetivo.
La pieza clave del nuevo motor
DeepSeek también presentó dos variantes con perfiles distintos. La versión “pro” apunta al trabajo más exigente, mientras que la “flash” busca respuesta inmediata con un rendimiento similar en tareas sencillas y una capacidad de razonamiento cercana.
El antecedente explica por qué este lanzamiento genera tanta atención. Su modelo R1, especializado en razonamiento, sorprendió en enero de 2025 por ofrecer un costo menor que rivales equivalentes de OpenAI y se volvió un símbolo del avance chino en esta carrera. V4, según varios analistas, no tiene el mismo efecto sísmico, pero sí refuerza una oportunidad concreta: mostrar que China puede construir modelos robustos y cada vez más autónomos.
También te puede interesar:DeepSeek expone datos de usuarios y chats: una brecha de seguridad alarmante
Al mismo tiempo, el contexto está lejos de ser limpio. OpenAI y Anthropic acusaron a DeepSeek de usar destilación (técnica para extraer comportamientos de otros modelos) de forma desleal. Desde China rechazan esas críticas y las describen como una supresión injustificada. La tensión revela que la pelea ya no es solo por quién diseña la mejor IA, sino por quién controla el interruptor de esa infraestructura.
Hay otro dato práctico. DeepSeek ofrece un chatbot gratuito en web y móvil, y su enfoque de código abierto (tecnología que otros desarrolladores pueden modificar y ampliar) le dio tracción, sobre todo en países en desarrollo, según Microsoft. Eso abre una puerta para empresas pequeñas, programadores y usuarios que buscan herramientas avanzadas sin pagar los precios más altos del mercado.
Si las pruebas independientes confirman su rendimiento, V4 podría convertirse en una de esas piezas silenciosas que cambian la rutina digital sin hacer demasiado ruido.

Directora de operaciones en GptZone. IT, especializada en inteligencia artificial. Me apasiona el desarrollo de soluciones tecnológicas y disfruto compartiendo mi conocimiento a través de contenido educativo. Desde GptZone, mi enfoque está en ayudar a empresas y profesionales a integrar la IA en sus procesos de forma accesible y práctica, siempre buscando simplificar lo complejo para que cualquiera pueda aprovechar el potencial de la tecnología.











